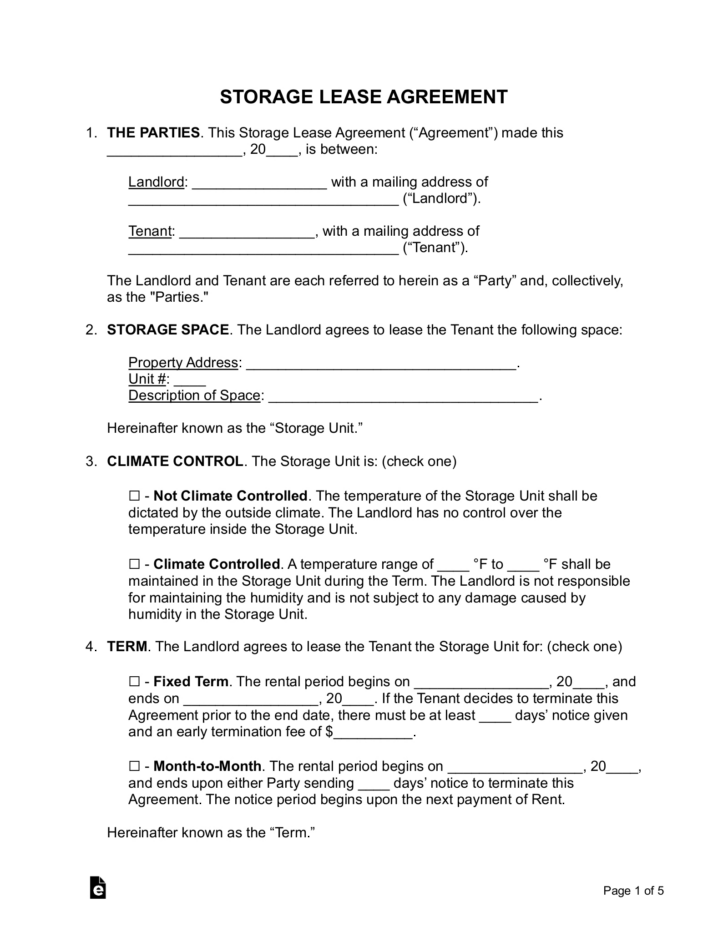
Printable Lease Agreement | Free Printable Lease Agreement Blank – Are you tired of the hassle and confusion that often comes with leasing agreements? Look no further! Our free printable lease agreement template is here to simplify the process for you. Say goodbye to the…









