Printable Mutual Lease Termination Agreement

Printable Lease Agreement | Printable Mutual Lease Termination Agreement – Are you tired of dealing with the stress and hassle of trying to terminate a lease agreement? Say goodbye to all those worries and headaches by using a printable lease termination agreement! With this handy document, you can easily and efficiently end your lease without any unnecessary drama or complications. No more long and confusing negotiations or arguments with your landlord – simply fill out the agreement, sign it, and move on to your next happy ending!

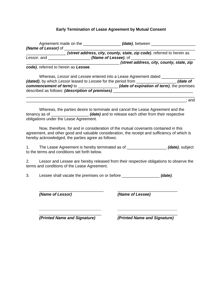
Mutual Lease Termination Agreement - Free To Use pertaining to Printable Mutual Lease Termination Agreement

Say Goodbye to Lease Woes with Printable Termination Agreement

Lease termination agreements are a great way to ensure that both parties are on the same page when it comes to ending a lease. By clearly outlining the terms and conditions of the termination, you can avoid any misunderstandings or disputes down the line. Plus, with a printable agreement, you can have peace of mind knowing that everything is in writing and legally binding. So why stress over trying to navigate the murky waters of lease termination when you can easily and efficiently end things on a positive note with a printable agreement?

Don’t let the fear of a difficult lease termination ruin your day – take control of the situation and end things on a high note with a printable termination agreement! No more worrying about breaking your lease early or dealing with unreasonable demands from your landlord. With a clear and concise agreement in place, you can confidently move forward and start fresh in a new space. So say goodbye to lease woes and hello to a happy ending with a printable termination agreement today!

End on a High Note: Get Your Happy Ending with Lease Termination

When it comes to ending a lease, why not make it a positive and stress-free experience for everyone involved? With a printable lease termination agreement, you can ensure that the process is smooth and seamless, allowing both parties to move on with ease. By using this convenient document, you can avoid any potential conflicts or misunderstandings that often arise during lease terminations. So why not end on a high note and get your happy ending with a printable termination agreement?

Lease terminations don’t have to be a source of frustration and tension – they can actually be a chance for a fresh start and new beginnings. By using a printable termination agreement, you can take the first step towards closing the chapter on your current lease and opening the door to exciting possibilities in the future. So why settle for a messy and complicated termination process when you can easily and efficiently end things on a positive note with a printable agreement? Say goodbye to lease woes and hello to a happy ending today!

Don’t let the fear of a difficult lease termination hold you back from moving forward. With a printable lease termination agreement, you can ensure a smooth and hassle-free end to your lease, allowing both parties to part ways on good terms. So say goodbye to lease woes and hello to a happy ending by using a printable termination agreement today!

Printable Mutual Lease Termination Agreement

Mutual Lease Termination Agreement Template In Word, Pages, Google intended for Printable Mutual Lease Termination Agreement

Mutual Lease Termination Agreement: Pre-Built Template | Airslate intended for Printable Mutual Lease Termination Agreement

Mutual Cancellation Of Lease Template [Free Download] Word & Pdf with Printable Mutual Lease Termination Agreement

Related Printable Mutual Lease Termination Agreement…

Disclaimer: Images on this site are sourced online. Copyright remains with the original owners. Attribution or removal is provided upon request.